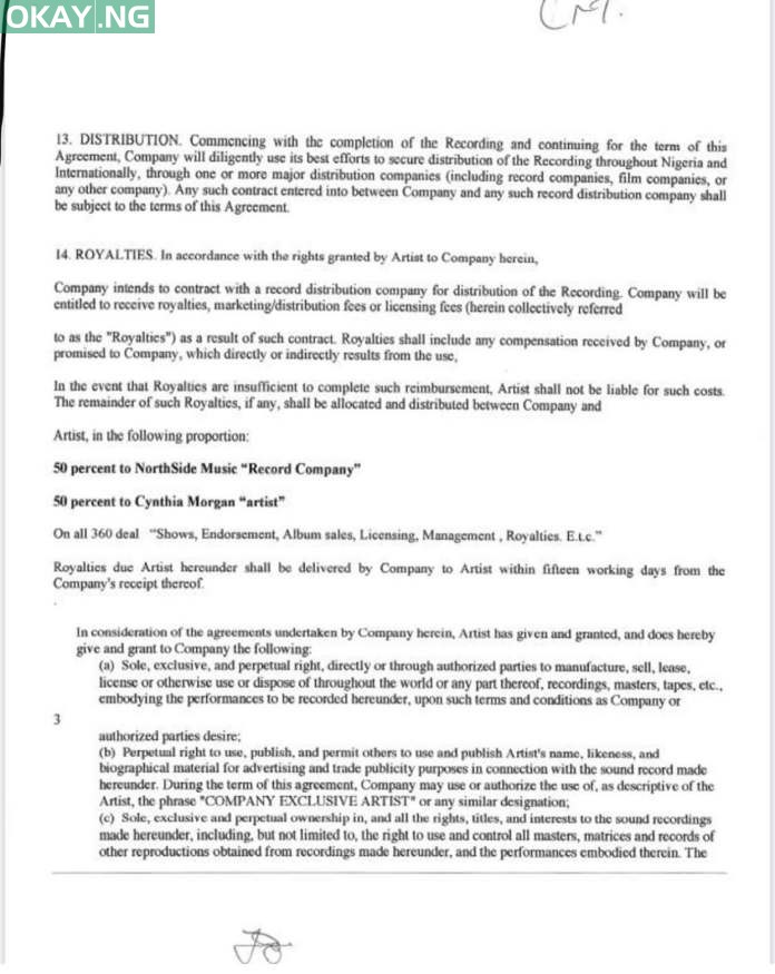
Jude Okoye, the owner of NorthSide INC, has shared a copy of the contract he signed signer, Cynthia Morgan, to the record label back in 2013.
Okay.ng recalls that the dancehall singer accused the music executive (Jude) of seizing her name, Instagram account, royalties, and VEVO account.
However, Jude in an interview with an Instagram influencer, Tunde Ednut, debunked all Cynthia’s allegations promising to release a copy of the contract she had with him.
On Tuesday, May 26, Tunde shared the copy on the photo-sharing platform for people to judge the matter.
The contract signed in October 2013, ran for 4 years and had a 2-year option renewal. It also had a 50-50 sharing formula.
See copy of the contract underneath:






